
| symbol | pronunciation | meaning |
| Δ | delta | change |
| ω | omega | |
| θ | theta | the angular position of a vector |
| α | alpha |
- Angular Motion
It is the rotation of an object around a fixed axis of rotation, such as CD in the CD player.

- Angular position
| There are wheels such as below, O : the axis of rotation of wheel P : any point on the wheel If we think about the situation where the wheel is rotating with the axis of rotation fixed, θ : the point P goes back to any angle θ, angle rotation after moves s : the distance where point P moves r : radius ![]() ![]() |
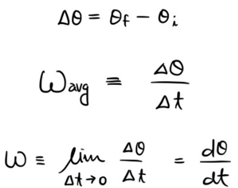
- Average angular velocity and angular velocity
| θf : angle rotation after moves θi : angle rotation before moves Δ : average Δt : the time interval at which an object rotates ![]() |
for instance,
| A : the point before moves B : the point after moves θi : angle rotation before moves θf : angle rotation after moves ti : the time before moves tf : the time after moves r : radius Δθ=θf-Δθi Δt=tf-ti avg ω=Δθ/Δt ![]() |
- angular acceleration(α) : Variation of angular velocity per unit time
| for instance, if magnitude of acceleration is large, a rotating object accelerates rapidly magnitude of acceleration is small, a rotating object accelerates slowly ![]() |
- Linear Motion
It is a phenomenon in which an object moves sideways, such as the train is moving along the railroad tracks as shown below.

- Location : the distance and the direction

- velocity : the speed and direction of a moving object.

- acceleration : how the speed of an object changes over the time, for instance, accelerate rapidly from slow to fast, or vice versa over the time

'Autonomous Vehicle' 카테고리의 다른 글
| RGB VS HSL VS HSV (0) | 2023.11.19 |
|---|---|
| RSSI, dB, dBm (0) | 2023.08.29 |
| Kinetics VS Kinematics (0) | 2023.07.06 |
| Plane angle VS Solid angle (0) | 2023.07.04 |
| PID controller (0) | 2023.06.30 |




