¡Hola, Mundo!

  • 홈
  • 태그
  • 방명록

textdistance 2

Vector Similarity-3. Jaccard Similarity

Jaccard Similarity - One of Token-based algorithms which is the expected input is a set of tokens, rather than complete strings. The idea is to find the similar tokens in both sets. More the number of common tokens, more is the similarity between the sets. A string can be transformed into sets by splitting using a delimiter. This way, we can transform a sentence into tokens of words or n-grams c..

Analyze Data/Measure of similarity 2021.03.02

Vector Similarity-4. Levenshtein distance

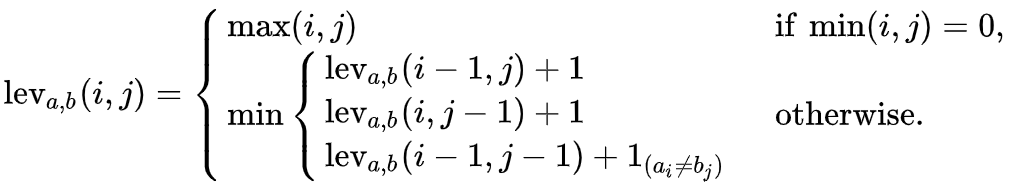
Levenshtein distance - One of edit distance based algorithms which is falling under this category try to compute the number of operations needed to transforms one string to another. More the number of operations, less is the similarity between the two strings. One point to note, in this case, every index character of the string is given equal importance. - A number that tells you how different t..

Analyze Data/Measure of similarity 2021.02.25
이전
1
다음
더보기
  • 분류 전체보기 (366) N
    • 3D (3) N
    • Autonomous Vehicle (58)
      • Theory (14)
      • Sensors (11)
      • Video Geometry (27)
    • Deep Learning (65)
      • PyTorch (11)
      • Tensorflow (8)
      • CNN (7)
      • Object Detection (18)
    • Machine Learning (19)
    • Reinforcement Learning (4)
    • Analyze Data (29)
      • Python (2)
      • Python Libraries (20)
      • Measure of similarity (7)
    • KAFKA (6)
    • d3.js (20)
    • Environment (9)
      • Anaconda (4)
      • VisualStudioCode (3)
      • Jupyter (2)
    • JavaScript (10)
    • C# (6)
    • Linux (15)
      • terminal (9)
      • Nvidia (3)
    • Docker (17)
    • Git (7)
    • Concept (8)
      • Network (3)
    • Elastic Stack (6)
      • Elasticsearch (5)
      • Logstash (1)
    • Basic Python (51)
      • FastAPI (3)
      • Data Structure (1)
      • Workbook (5)
    • DataBase (11)
      • MYSQL (6)
      • MariaDB (1)
    • Math (21)
    • About me (1)

Tag

selectall, randn, global variable, zeros, textdistance, abstractmethod, batch size, Filter, yield from, randint, classmethod, d3js, Sigmoid function, nvidia-smi, docker-compose, Regular Expression, kafka, axis, forward propagation, 3D Rotation Matrix,

최근글과 인기글

  • 최근글
  • 인기글

최근댓글

공지사항

페이스북 트위터 플러그인

  • Facebook
  • Twitter

Archives

Calendar

«   2026/05   »
일 월 화 수 목 금 토
1 2
3 4 5 6 7 8 9
10 11 12 13 14 15 16
17 18 19 20 21 22 23
24 25 26 27 28 29 30
31

Copyright © AXZ Corp. All rights reserved.

티스토리툴바