¡Hola, Mundo!

  • 홈
  • 태그
  • 방명록

SARSA 1

Monte-carlo VS Temporal Difference

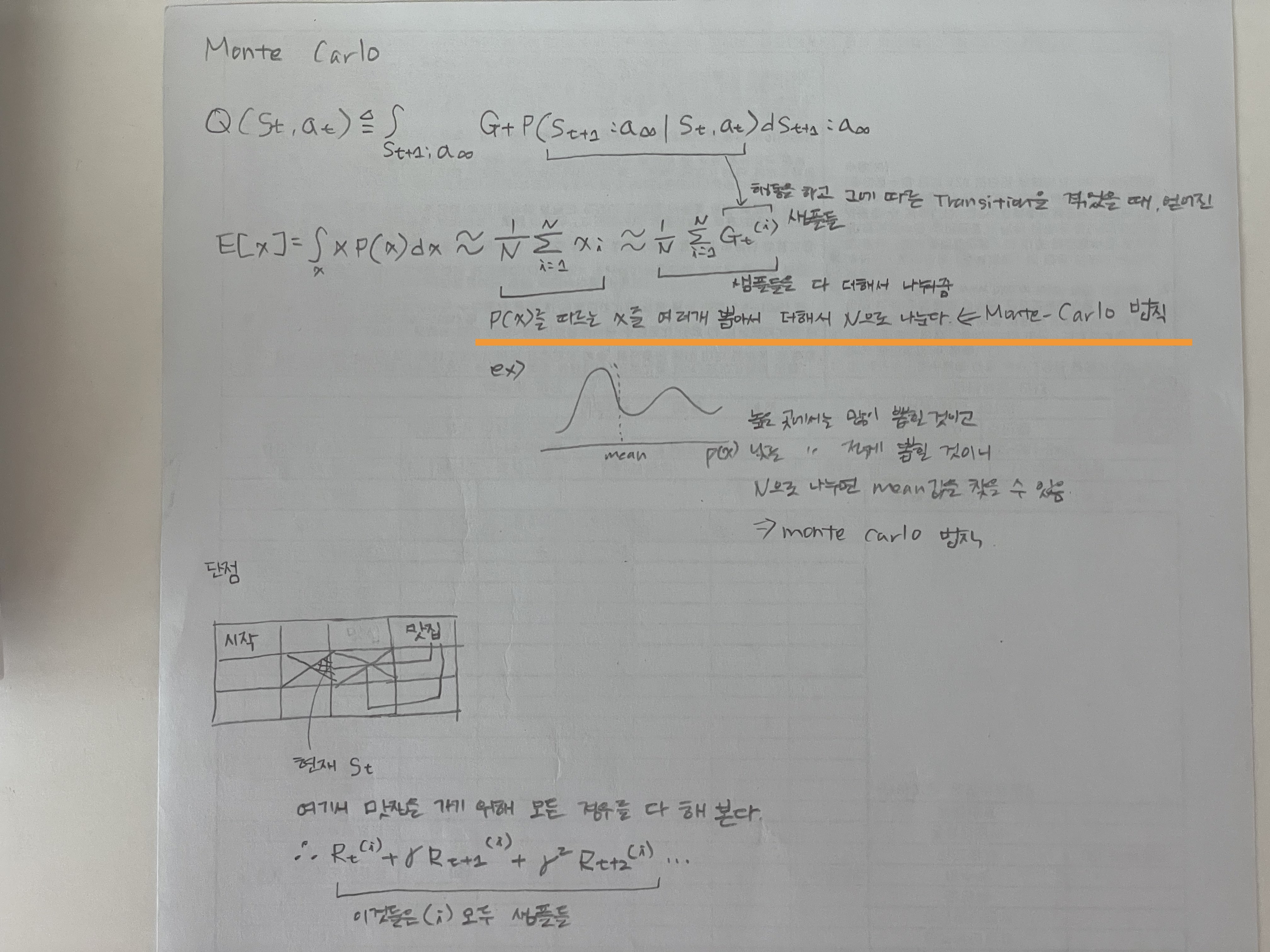
How can we get Q*?Monte-carlo  https://youtu.be/bCifW0SENGs?si=-Brm4lwVPN4emAG2Temporal Difference1 Step Temporal DifferenceIncremental Monte Carlo UpdatesTime DifferenceTemporal Difference ErrorTemporal Difference Target  https://youtu.be/vfLrBPYwuFA?si=zTnAFh5bjHerEKX-SARSA  https://youtu.be/vfLrBPYwuFA?si=zTnAFh5bjHerEKX-Monte-carlo VS Temporal Difference  https://youtu.be/STcbD5VhP3Y?si=1mt7..

Reinforcement Learning 2024.10.06
이전
1
다음
더보기
  • 분류 전체보기 (352)
    • Autonomous Vehicle (55)
      • Theory (14)
      • Sensors (11)
      • Video Geometry (24)
    • Deep Learning (20)
      • PyTorch (10)
      • Tensorflow (8)
      • CNN (7)
      • Object Detection (16)
    • Machine Learning (18)
    • Reinforcement Learning (4)
    • Analyze Data (29)
      • Python (2)
      • Python Libraries (20)
      • Measure of similarity (7)
    • KAFKA (6)
    • d3.js (20)
    • Environment (9)
      • Anaconda (4)
      • VisualStudioCode (3)
      • Jupyter (2)
    • JavaScript (10)
    • C# (6)
    • Linux (15)
      • terminal (9)
      • Nvidia (3)
    • Docker (17)
    • Git (7)
    • Concept (8)
      • Network (3)
    • Elastic Stack (6)
      • Elasticsearch (5)
      • Logstash (1)
    • Basic Python (49)
      • FastAPI (3)
      • Data Structure (1)
      • Workbook (5)
    • DataBase (11)
      • MYSQL (6)
      • MariaDB (1)
    • Math (20)
    • About me (1)

Tag

3D Rotation Matrix, abstractmethod, Sigmoid function, textdistance, d3js, selectall, Filter, docker-compose, batch size, zeros, Regular Expression, forward propagation, global variable, axis, classmethod, Step Function, nvidia-smi, kafka, randn, yield from,

최근글과 인기글

  • 최근글
  • 인기글

최근댓글

공지사항

페이스북 트위터 플러그인

  • Facebook
  • Twitter

Archives

Calendar

«   2026/01   »
일 월 화 수 목 금 토
1 2 3
4 5 6 7 8 9 10
11 12 13 14 15 16 17
18 19 20 21 22 23 24
25 26 27 28 29 30 31

Copyright © Kakao Corp. All rights reserved.

티스토리툴바