¡Hola, Mundo!

  • 홈
  • 태그
  • 방명록

Python Levenshtein 1

Vector Similarity-4. Levenshtein distance

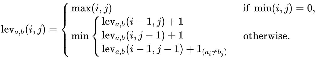
Levenshtein distance - One of edit distance based algorithms which is falling under this category try to compute the number of operations needed to transforms one string to another. More the number of operations, less is the similarity between the two strings. One point to note, in this case, every index character of the string is given equal importance. - A number that tells you how different t..

Analyze Data/Measure of similarity 2021.02.25
이전
1
다음
더보기
  • 분류 전체보기 (352)
    • Autonomous Vehicle (55)
      • Theory (14)
      • Sensors (11)
      • Video Geometry (24)
    • Deep Learning (20)
      • PyTorch (10)
      • Tensorflow (8)
      • CNN (7)
      • Object Detection (16)
    • Machine Learning (18)
    • Reinforcement Learning (4)
    • Analyze Data (29)
      • Python (2)
      • Python Libraries (20)
      • Measure of similarity (7)
    • KAFKA (6)
    • d3.js (20)
    • Environment (9)
      • Anaconda (4)
      • VisualStudioCode (3)
      • Jupyter (2)
    • JavaScript (10)
    • C# (6)
    • Linux (15)
      • terminal (9)
      • Nvidia (3)
    • Docker (17)
    • Git (7)
    • Concept (8)
      • Network (3)
    • Elastic Stack (6)
      • Elasticsearch (5)
      • Logstash (1)
    • Basic Python (49)
      • FastAPI (3)
      • Data Structure (1)
      • Workbook (5)
    • DataBase (11)
      • MYSQL (6)
      • MariaDB (1)
    • Math (20)
    • About me (1)

Tag

Filter, docker-compose, kafka, global variable, axis, d3js, classmethod, textdistance, Sigmoid function, forward propagation, batch size, nvidia-smi, abstractmethod, Regular Expression, selectall, 3D Rotation Matrix, zeros, yield from, randn, Step Function,

최근글과 인기글

  • 최근글
  • 인기글

최근댓글

공지사항

페이스북 트위터 플러그인

  • Facebook
  • Twitter

Archives

Calendar

«   2026/01   »
일 월 화 수 목 금 토
1 2 3
4 5 6 7 8 9 10
11 12 13 14 15 16 17
18 19 20 21 22 23 24
25 26 27 28 29 30 31

Copyright © Kakao Corp. All rights reserved.

티스토리툴바