¡Hola, Mundo!

  • 홈
  • 태그
  • 방명록

vector 2

3D Tensor(Typical Natural Language Processing)

Step 1. Devide the sentences into words. 2. Vectorize each words. 3. Set up the batch size. Let's say here is data. [[나는 사과를 좋아해], [나는 바나나를 좋아해], [나는 사과를 싫어해], [나는 바나나를 싫어해]] 1. Devide the sentences into words. [['나는', '사과를', '좋아해'], ['나는', '바나나를', '좋아해'], ['나는', '사과를', '싫어해'], ['나는', '바나나를', '싫어해']] 2. Vectorize each words. '나는' = [0.1, 0.2, 0.9] '사과를' = [0.3, 0.5, 0.1] '바나나를' = [0.3, 0.5, 0.2]..

Machine Learning 2022.08.02

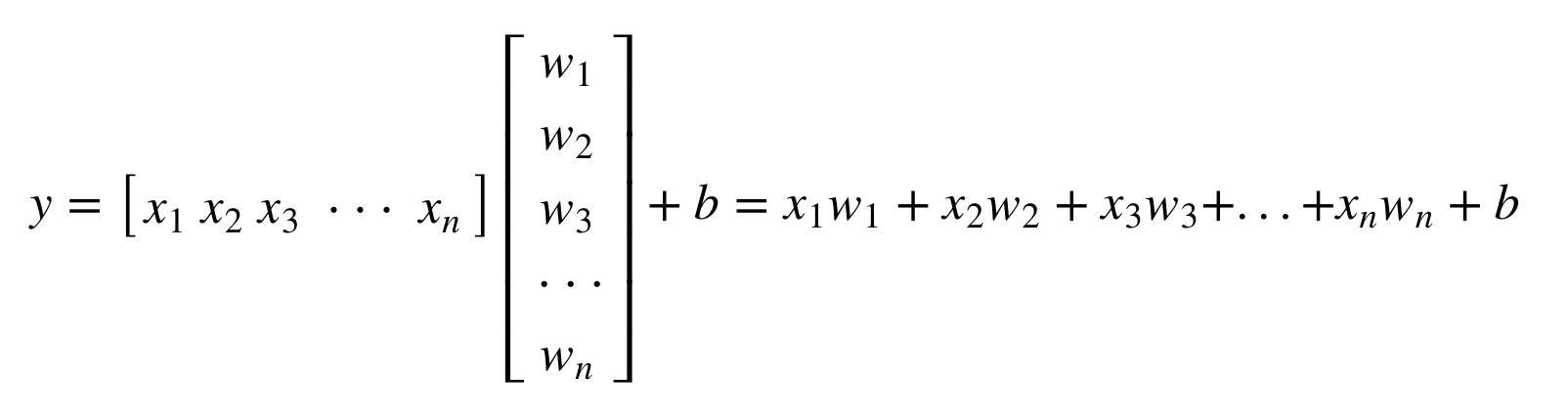
Scalar vs Vector vs Matrix vs Tensor

Scalar 0-dimensional, a data consisting of a single real value. For example, your speed is a scalar value because it only has one component, how fast you are going. Your height is also a scalar value because the only component is how tall you are. Vector 1-dimensional array or list. 1-dimensional tensor. np.array([1,2,3]) >>> array([1, 2, 3]) Matrix 2-dimensional which has row and column. np.arr..

Machine Learning 2021.03.17
이전
1
다음
더보기
  • 분류 전체보기 (352)
    • Autonomous Vehicle (55)
      • Theory (14)
      • Sensors (11)
      • Video Geometry (24)
    • Deep Learning (20)
      • PyTorch (10)
      • Tensorflow (8)
      • CNN (7)
      • Object Detection (16)
    • Machine Learning (18)
    • Reinforcement Learning (4)
    • Analyze Data (29)
      • Python (2)
      • Python Libraries (20)
      • Measure of similarity (7)
    • KAFKA (6)
    • d3.js (20)
    • Environment (9)
      • Anaconda (4)
      • VisualStudioCode (3)
      • Jupyter (2)
    • JavaScript (10)
    • C# (6)
    • Linux (15)
      • terminal (9)
      • Nvidia (3)
    • Docker (17)
    • Git (7)
    • Concept (8)
      • Network (3)
    • Elastic Stack (6)
      • Elasticsearch (5)
      • Logstash (1)
    • Basic Python (49)
      • FastAPI (3)
      • Data Structure (1)
      • Workbook (5)
    • DataBase (11)
      • MYSQL (6)
      • MariaDB (1)
    • Math (20)
    • About me (1)

Tag

d3js, docker-compose, batch size, kafka, forward propagation, Sigmoid function, classmethod, Step Function, yield from, 3D Rotation Matrix, zeros, axis, global variable, Filter, abstractmethod, textdistance, nvidia-smi, randn, Regular Expression, selectall,

최근글과 인기글

  • 최근글
  • 인기글

최근댓글

공지사항

페이스북 트위터 플러그인

  • Facebook
  • Twitter

Archives

Calendar

«   2025/12   »
일 월 화 수 목 금 토
1 2 3 4 5 6
7 8 9 10 11 12 13
14 15 16 17 18 19 20
21 22 23 24 25 26 27
28 29 30 31

Copyright © Kakao Corp. All rights reserved.

티스토리툴바