- Derivative
- Instantaneous rate of change.
- The rate of change of A with respect to B(B에 대한 A의 변화량) :

- The left : the slope is 2, that is, dy/dx=2. The rate of change is always constant. This means that the amount of change in y is twice the amount of change in x. In other words, when x increases by 1, y increases by 2, and when x increases by 5, y increases by 10.
- The right : The rate of change always changes.

In this figure,
when x = a, the instantaneous rate of change f'(a) is
when x = x itself, without limiting to a particular value, the instantaneous rate of change f'(x) is
- Slope(Gradient of a line)
A line is a number that describes both the direction and the steepness of the line.














- Polynomial Function Derivative

Using the Factorization above, derive a derivative for the polynomial function below.

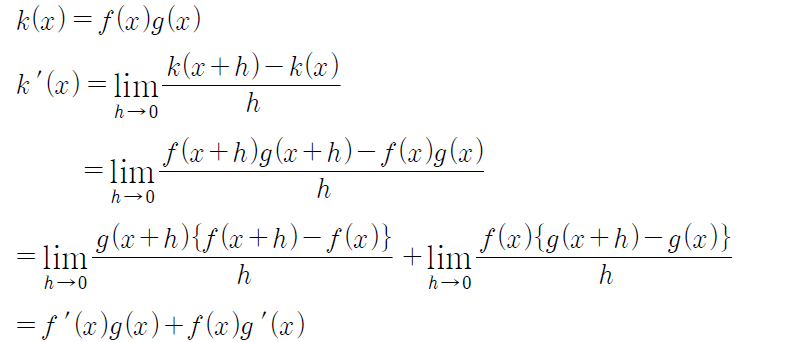
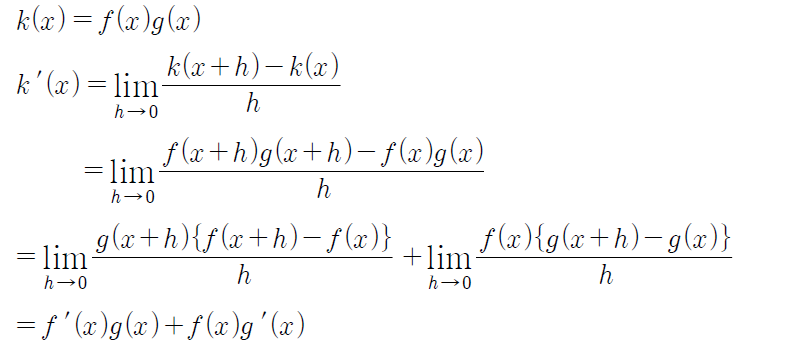
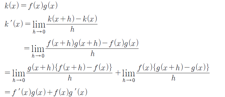
- Product Rule

https://darkpgmr.tistory.com/45
'Math' 카테고리의 다른 글
| Integral, integration (0) | 2024.03.08 |
|---|---|
| Least Square Method(Least Mean Square) (0) | 2024.03.08 |
| variance, Standard deviation, Covariance, Correlation Coefficient (0) | 2023.06.14 |
| Logarithmic(log), Exponential(exp) (0) | 2023.05.26 |
| Sine, Cosine, Tangent (0) | 2023.04.03 |