¡Hola, Mundo!

  • 홈
  • 태그
  • 방명록

Tensor 1

Scalar vs Vector vs Matrix vs Tensor

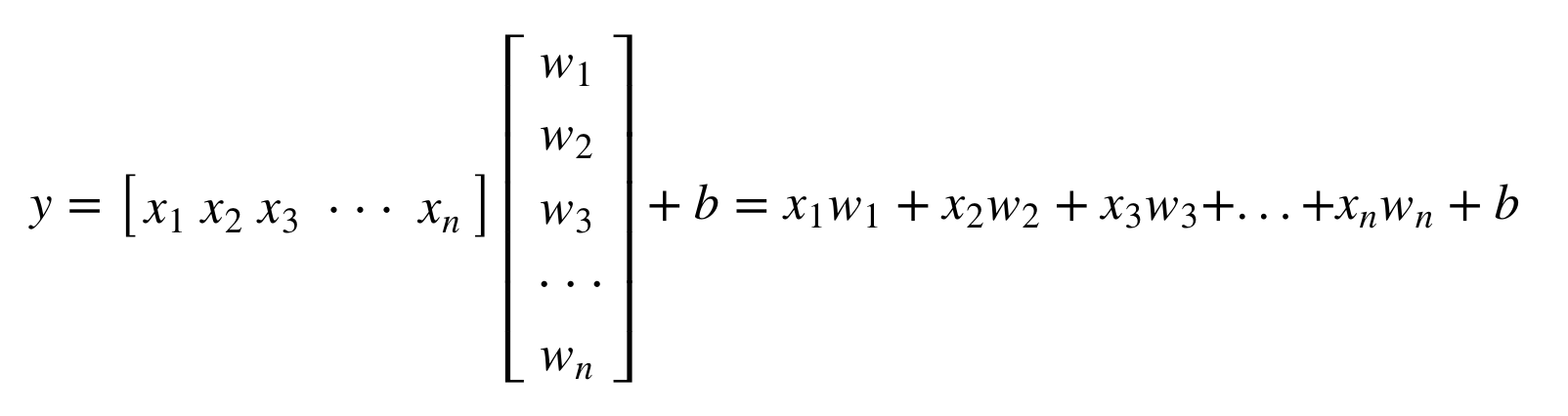
- id-tensor = vector- 2d-tensor = matrix- 3d-tensor = tensor Scalar0-dimensional, a data consisting of a single real value. For example, your speed is a scalar value because it only has one component, how fast you are going. Your height is also a scalar value because the only component is how tall you are. Vector1-dimensional array or list. 1-dimensional tensor.np.array([1,2,3])>>>array([1, 2..

Machine Learning 2021.03.17
이전
1
다음
더보기
  • 분류 전체보기 (365)
    • 3D (2)
    • Autonomous Vehicle (58)
      • Theory (14)
      • Sensors (11)
      • Video Geometry (27)
    • Deep Learning (65)
      • PyTorch (11)
      • Tensorflow (8)
      • CNN (7)
      • Object Detection (18)
    • Machine Learning (19)
    • Reinforcement Learning (4)
    • Analyze Data (29)
      • Python (2)
      • Python Libraries (20)
      • Measure of similarity (7)
    • KAFKA (6)
    • d3.js (20)
    • Environment (9)
      • Anaconda (4)
      • VisualStudioCode (3)
      • Jupyter (2)
    • JavaScript (10)
    • C# (6)
    • Linux (15)
      • terminal (9)
      • Nvidia (3)
    • Docker (17)
    • Git (7)
    • Concept (8)
      • Network (3)
    • Elastic Stack (6)
      • Elasticsearch (5)
      • Logstash (1)
    • Basic Python (51)
      • FastAPI (3)
      • Data Structure (1)
      • Workbook (5)
    • DataBase (11)
      • MYSQL (6)
      • MariaDB (1)
    • Math (21)
    • About me (1)

Tag

selectall, Filter, forward propagation, abstractmethod, axis, batch size, randint, nvidia-smi, Sigmoid function, kafka, zeros, Regular Expression, classmethod, randn, docker-compose, 3D Rotation Matrix, textdistance, global variable, yield from, d3js,

최근글과 인기글

  • 최근글
  • 인기글

최근댓글

공지사항

페이스북 트위터 플러그인

  • Facebook
  • Twitter

Archives

Calendar

«   2026/04   »
일 월 화 수 목 금 토
1 2 3 4
5 6 7 8 9 10 11
12 13 14 15 16 17 18
19 20 21 22 23 24 25
26 27 28 29 30

Copyright © AXZ Corp. All rights reserved.

티스토리툴바