- Kalman Filter


It works by a two-phase process having a prediction phase and an update phase.
- For the prediction phase, the Kalman filter produces estimates of the current state variables, along with their uncertainties.
- Once the outcome of the next measurement (necessarily corrupted with some error, including random noise) is observed, these estimates are updated using a weighted average, with more weight being given to estimates with greater certainty.
- The algorithm is recursive. It can operate in real time, using only the present input measurements and the state calculated previously and its uncertainty matrix; no additional past information is required.
Conditions
|
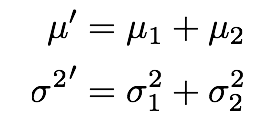
- Prediction phase
Predict the current state distribution.

- μ : Average of probability distribution
- σ : Distribution of of probability distribution
- Update phase
Update posterior probability distribution.
- Example
1) Prior Belief

- μ1 : Suppose that the robot was 20 meters away.
- σ1 : Distribution
2) Current Belief

- μ2 : The Sensor measured that the robot is 30 meters.
- σ2 : Distribution
3) Updated Gaussian Probability Distribution

↓

∴

https://soohwan-justin.tistory.com/42
https://medium.com/@celinachild/kalman-filter-%EC%86%8C%EA%B0%9C-395c2016b4d6
'Autonomous Vehicle > Theory' 카테고리의 다른 글
| Poisson distribution (0) | 2024.03.15 |
|---|---|
| (prerequisite-Poisson distribution) Binomial Distribution (0) | 2024.03.15 |
| Prediction Step, Motion Model, Correction Step, Observation Model (0) | 2024.03.14 |
| (prerequisite-Kalman Filter) Bayes' Theorem(Baysianism) (0) | 2024.03.13 |
| Probability Distribution, Random Variable, Probability Function, Cumulative Distribution Function (0) | 2024.03.13 |