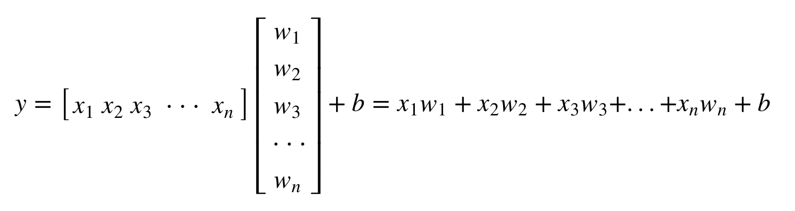
Scalar vs Vector vs Matrix vs Tensor
Scalar 0-dimensional, a data consisting of a single real value. For example, your speed is a scalar value because it only has one component, how fast you are going. Your height is also a scalar value because the only component is how tall you are. Vector 1-dimensional array or list. 1-dimensional tensor. np.array([1,2,3]) >>> array([1, 2, 3]) Matrix 2-dimensional which has row and column. np.arr..